Question

In: Economics

The world comprises two countries, A and B. There is only one good, whose price is...

The world comprises two countries, A and B. There is only one good, whose price is normalized to 1; hence nominal and real measures coincide. These two countries differ with respect to their production technology. In particular, ???? = 10 − 0.8?? and ???? = 7 − 0.7??, where ???? denotes the marginal product of capital and ?? the capital stock in country i = Α, Β. The total capital stock in the world is 10 units.

a) The initial allocation of capital is ?? = 5 and ?? = 5. Find each country’s total income as well as labor and capital income. What is the world income? [Mark: 0.75]

b) Next, consider the case where there is free capital mobility. Find the capital allocation between the two countries, each country’s total income, as well as labor and capital income. What happens to world income? Explain your answers. [Mark: 0.75]

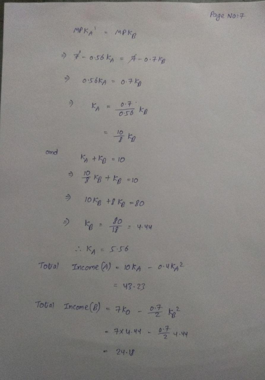
c) Assume now that, succumbing to domestic pressure, the government of country A imposes a 30% tax on capital income. Show graphically the equilibria before and after taxation. Find the new capital allocation between the two countries, total income, tax revenue, as well as labor and net capital income in each country. Explain your answers. [Mark: 1.5] Note: Round your answers to the second decimal point.

Solutions

Expert Solution


Related Solutions

consider a simple economy that produces only two products: A, B.    GOOD A GOOD B Price...
consider a simple economy that produces only two products: A, B.    GOOD A GOOD B Price Quantity Price Quantity 2015 20 500 30 500 2016 50 1000 40 500 2017 50 1000 50 1000 Compute nominal GDP, real GDP, and the GDP deflator for each year, using 2018 as the base year.
Suppose there are only two oil producing countries in the world and who compete with one...
Suppose there are only two oil producing countries in the world and who compete with one another: Canada and Norway. The world inverse demand for oil is given by P(Q) = 180 ? qC ? qN where qC and qN are the quantities of oil brought to market by Canada and Norway, respectively. The cost function for extracting oil is identical across both countries and equal to C(q) = 60q. The two countries engage in Cournot competition by choosing how...
Consider two countries, A and B, whose respective industries produce goods qA and qB. Total world...
Consider two countries, A and B, whose respective industries produce goods qA and qB. Total world output of the good is given by Q=qA+qB. There is a world demand given by p=102-Q. Suppose that the cost function for country A is given by CA(qA)=7qA while the cost function in country B is given by CB(qB)=3qB. The production of the good generates greenhouse gas emissions which cause global climate change. Total world emissions are 0.5 per unit of good, such that...
Suppose you have a world with two goods, A and B. Suppose the price of good...
Suppose you have a world with two goods, A and B. Suppose the price of good B increases and good A is an inferior good. Explain, using concepts of income effect and substitution effect, how do you know that consumption of good A will increase. Suppose A was a normal good. Would consumption of A increase or decrease.
There are two countries, Home and Foreign, each producing only one good by using labor and...
There are two countries, Home and Foreign, each producing only one good by using labor and capital. The supply and the quality of labor as well as the technology of production are identical in both countries and labor mobility between the countries is not allowed. The marginal productivity of the 1st unit of capital used is 20 whereas the marginal productivity of the 9th unit is 12 and there is a linear relation between the marginal product of capital and...
Assume that there are only two countries in the world, Atlantica and Pacifica. Both countries produce...
Assume that there are only two countries in the world, Atlantica and Pacifica. Both countries produce and consume surfboards. The pre-trade equilibrium price of surfboards in Atlantica is $300 and the pre-trade price of surfboards in Pacifica is $400. a) Draw a three-graph diagram to depict the Pacifica, Atlantica, and international markets for surfboards. Assume that free trade opens up between Pacifica and Atlantica yielding an international price of $375 with 10,000 surfboards being traded. Be sure to label all...
There are two countries, England and USA, in a world where there are only two factors...
There are two countries, England and USA, in a world where there are only two factors of production, land and labor. England has 8 million acres of land and 2 million workers while USA has 5 million acres of land and 1 million workers. Both countries produce two goods, cars and watches, using identical technology. Per acre of land, the production of cars requires 4 workers while the production of watches requires 1 worker. Using a PPF/indifference curve graph, illustrate...
Suppose that there are only two small countries in the​ world: Ascot, with a population of...
Suppose that there are only two small countries in the​ world: Ascot, with a population of 29,400 ​people, and​ Delwich, with a population of 21,000 people.​ Ascot's GDP is equal to ​$150 million while​ Delwich's GDP is ​$210 million.​ Delwich's GNP has been estimated to be equal to ​$240 million. The revenue earned by firms that operate in Delwich but are headquartered in Ascot is equal to ​$60 million. Given the data​ above, Ascot's GNP is ​$___ million. ​(Enter your...
Comparative Advantage There are two countries in the world. There are also only two different types...
Comparative Advantage There are two countries in the world. There are also only two different types of goods produced, food and clothing. Each country has the same amount of “inputs” (i.e. labor, capital, raw materials, etc.), which amounts to 100,000 units of input. Below is a chart that lists out how many units of output each country could create if they created just one type of good. For example, if Country A produced ONLY food, then with 100,000 units of...
Comparative Advantage There are two countries in the world. There are also only two different types...
Comparative Advantage There are two countries in the world. There are also only two different types of goods produced, food and clothing. Each country has the same amount of “inputs” (i.e. labor, capital, raw materials, etc.), which amounts to 100,000 units of input. Below is a chart that lists out how many units of output each country could create if they created just one type of good. For example, if Country A produced ONLY food, then with 100,000 units of...
ADVERTISEMENT
ADVERTISEMENT
ADVERTISEMENT