Question

In: Statistics and Probability

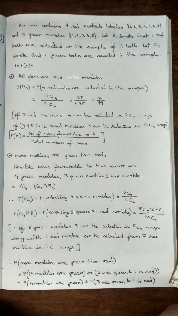
(4) An urn contains 7 red marbles labeled {1,2,3,4,5,6,7} and 5 green marbles labeled {1,2,3,4,5}.Four marbles...

(4) An urn contains 7 red marbles labeled {1,2,3,4,5,6,7} and 5 green marbles labeled {1,2,3,4,5}.Four marbles are pulled out at once (i.e. with no particular order). What is the probability that ...

(a) ... all four marbles are red?

(b) ... more of the marbles are green than red?

(c) ... both red and green marbles are present?

(d) ... two of the marbles chosen are both labeled "5"?

Solutions

Expert Solution


Related Solutions

Urn A contains 5 green and 4 red balls, and Urn B contains 3 green and...
Urn A contains 5 green and 4 red balls, and Urn B contains 3 green and 6 red balls. One ball is drawn from Urn A and transferred to Urn B. Then one ball is drawn from Urn B and transferred to Urn A. Let X = the number of green balls in Urn A after this process. List the possible values for X and then find the entire probability distribution for X.
Urn A contains 5 green and 4 red balls, and Urn B contains 3 green and...
Urn A contains 5 green and 4 red balls, and Urn B contains 3 green and 6 red balls. One ball is drawn from Urn A and transferred to Urn B. Then one ball is drawn from Urn B and transferred to Urn A. Let X = the number of green balls in Urn A after this process. List the possible values for X and then find the entire probability distribution for X.
An urn contains 5 blue marbles and 4 red marbles. You draw a certain number of...
An urn contains 5 blue marbles and 4 red marbles. You draw a certain number of marbles from the urn at random with replacement . . . (A) You win $243.00 if you draw more blue marbles than red marbles. Assuming that you want to win, which is better: drawing 20 marbles or 200 marbles? Explain your answer briefly. (B) You win $177.00 if the percentage of red marbles that you draw is less than 42%. Assuming that you want...
A box contains 4 red and 7 green marbles. You reach in and remove 3 marbles...
A box contains 4 red and 7 green marbles. You reach in and remove 3 marbles all at once. (a) Find the probability that these 3 marbles are all red. (Enter your answer as a fraction.) (b) Find the probability that these 3 marbles are all of the same color. (Enter your answer as a fraction.) *Please show your work so I know how you got your answers. TY
An urn contains 4 marbles, either blue or green. The number of blue marbles is equally...
An urn contains 4 marbles, either blue or green. The number of blue marbles is equally likely to be 0, 1, 2, 3, or 4. Suppose we do 3 random draws with replacement, and the observed sequence is: blue, green, blue. What is the probability the urn contains just 1 blue marble?
An urn contains 4 marbles, either blue or green. The number of blue marbles is equally...
An urn contains 4 marbles, either blue or green. The number of blue marbles is equally likely to be 0, 1, 2, 3, or 4. Suppose we do 3 random draws with replacement, and the observed sequence is: blue, green, blue. What is the probability the urn contains just 1 blue marble?
An urn contains 6 red balls and 4 green balls. A sample of 7 balls is...
An urn contains 6 red balls and 4 green balls. A sample of 7 balls is selected at random. a. How many different samples are possible? b. How many samples contain 5 red and 2 green balls? c. How many sample contain all red balls? d. How many samples contain at least 4 red balls? e. What is the probability in a draw of 7 balls there is 3 red and 4 green?
Urn 1 contains 8 green balls and 10 red balls. Urn 2 contains 7 green balls...
Urn 1 contains 8 green balls and 10 red balls. Urn 2 contains 7 green balls and 5 red balls. A die is rolled, if a 1 or 2 is rolled, a ball is chosen from urn 1, if a 3, 4, 5, or 6 is rolled, a balls is chosen from urn 2. What is the probability of selecting a green ball? Please show all work.
An urn contains 5 red balls, 4 green balls and 4 yellow balls, for a total...
An urn contains 5 red balls, 4 green balls and 4 yellow balls, for a total of 13 balls. if five balls are randomly selected without replacement, what is the probability of selecting at least two red balls, given that at least one yellow ball is selected?
A box contains 5 green marbles, 8 blue marbles, and 8 red marbles. Three marbles are...
A box contains 5 green marbles, 8 blue marbles, and 8 red marbles. Three marbles are selected at random from the box, one at a time, without replacement. Find the probability that the first two marbles selected are not red, and the last marble is red.
ADVERTISEMENT
ADVERTISEMENT
ADVERTISEMENT