In: Statistics and Probability
#9. Consider again the data labelled problem 8. The population standard deviations of the two populations are known to be respectively 18 and 15. You have to test the hypothesis that the mean of population 1 exceeds that of population 2 by more than 2 units, i.e. μ1-μ2>2. Test the hypothesis using α=3%. You will write ALL the steps involved in the hypothesis test as demonstrated in the lecture class: identify the test-statistic, give the value of sample statistics and test-statistic. You can use either the critical value method or the p-value method to conclude your test. Clearly state your conclusion.
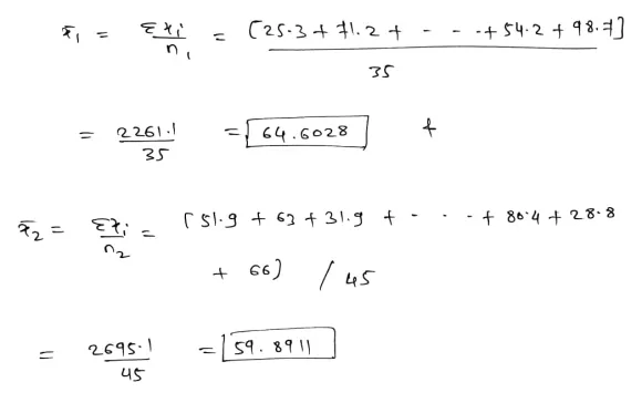
| Sample 1 | Sample 2 | 
| 25.3 | 51.9 | 
| 71.2 | 63 | 
| 33.9 | 31.9 | 
| 87.5 | 76.6 | 
| 49.8 | 45.2 | 
| 90.8 | 79.3 | 
| 54.1 | 48.7 | 
| 80.2 | 70.5 | 
| 80.3 | 70.6 | 
| 81.5 | 71.6 | 
| 71.5 | 63.3 | 
| 44.4 | 40.7 | 
| 61.8 | 55.1 | 
| 50.4 | 45.7 | 
| 55.7 | 50.1 | 
| 48.7 | 44.3 | 
| 78.7 | 69.2 | 
| 36.4 | 34 | 
| 71.5 | 63.3 | 
| 58.8 | 52.7 | 
| 77.9 | 68.6 | 
| 82 | 72 | 
| 63.4 | 56.5 | 
| 80.6 | 70.8 | 
| 64.7 | 57.6 | 
| 47.7 | 43.4 | 
| 63.9 | 56.9 | 
| 75.3 | 66.4 | 
| 77.6 | 68.4 | 
| 85.5 | 74.9 | 
| 76.5 | 67.4 | 
| 40.2 | 37.1 | 
| 40.4 | 37.3 | 
| 54.2 | 48.8 | 
| 98.7 | 85.9 | 
| 54.7 | |
| 63.1 | |
| 32.8 | |
| 89 | |
| 60.5 | |
| 95.9 | |
| 84.2 | |
| 80.4 | |
| 28.8 | |
| 66 | 





## it is right tailed test :
to test : Ho : μ1 - μ2 = 2 vs H1 : μ1 - μ2 > 2
test statistics : z = 0.7181
critical value = 1.88 ( use statistical table )
decision : we fail to reject Ho because z stat < z critical value
Conclusion : There is Insufficient evidence to conclude that the mean of population 1 exceeds that of population 2 by more than 2 units .
that is μ1 - μ2 = 2