In: Math
Suppose you may invest $2250 into an account, which guarantees you a payment of $3550 after five years. What is the effective annual interest rate?
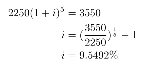
Given that the original investment was $2250 and in five years the investment grows to $3550. The given information can be used to set up an equation of the form used to find the present value of an investment except instead of the present value being unknown, the interest rate is the only unknown so it can be solved for as such:

Set up the equation as you normally would to find present value and solve for interest rate: 9.55%