Question

In: Advanced Math

determine if the following are homomorphisms/isomorphisms: 1. F: (Z5,+5) → (Z5,+5) where F([x]5)=[2x+1]5. 2. F :...

determine if the following are homomorphisms/isomorphisms:

1. F: (Z5,+5) → (Z5,+5) where F([x]5)=[2x+1]5.

2. F : (Z10,+10) → (Z5,+5) where F([x]10)=[2x]5.

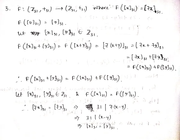
3. F : (Z31,+31) → (Z31,+31) where F([x]31)=[7x]31.

Solutions

Expert Solution


Related Solutions

1. Use the derivative function, f'(x)f′(x), to determine where the function f(x)=−2x^2+14x−8 is increasing. 2.Use the...
1. Use the derivative function, f'(x)f′(x), to determine where the function f(x)=−2x^2+14x−8 is increasing. 2.Use the derivative function f'(x)f′(x) to determine where the function f(x)=2x^3−27x^2+108x+13 is increasing.   3.Use the derivative function f'(x)f′(x) to determine where the function f(x)=2x^3−27x^2+108x−12 is decreasing. 4.Find each value of the function f(x)=−x^3+12x+9 where the line tangent to the graph is horizontal. x=
Write f(x)=x^4+2x^3+2x+1 as a product of irreducible polynomials, considered as a polynomial in Z3[x], Z5[x], and...
Write f(x)=x^4+2x^3+2x+1 as a product of irreducible polynomials, considered as a polynomial in Z3[x], Z5[x], and Z7[x], respectively. 1. 2. Let f(x) be as in the previous exercise. Choose D among the polynomial rings in that exercise, so that the factor ring D/〈f(├ x)〉┤i becomes a field. Find the inverse of x+〈f├ (x)〉┤i in this field.
For the following exercises, determine whether or not the given function f is continuous everywhere....f(x) = 2x + 5/x
For the following exercises, determine whether or not the given function f is continuous everywhere. If it is continuous everywhere it is defined, state for what range it is continuous. If it is discontinuous, state where it is discontinuous.f(x) = 2x + 5/x
Given the following rational function:             F(X) = (2X^2 - 20) / [( X - 5 )^2]...
Given the following rational function:             F(X) = (2X^2 - 20) / [( X - 5 )^2] Find all horizontal and vertical asymptotes Find the first derivative of F(X) and simplify Find the critical values for X and determine if they are at a maximum or minimum, using the First Derivative Sign Test. Find the Second Derivative and Use it to confirm your answers to part c. You may keep the 2nd derivative in “rough” form and simply substitute in the...
Given f(x) = 1 x 2 − 1 , f 0 (x) = −2x (x 2...
Given f(x) = 1 x 2 − 1 , f 0 (x) = −2x (x 2 − 1)2 and f 00(x) = 2(3x 2 + 1) (x 2 − 1)3 . (a) [2 marks] Find the x-intercept and the y-intercept of f, if any. (b) [3 marks] Find the horizontal and vertical asymptotes for the graph of y = f(x). (c) [4 marks] Determine the intervals where f is increasing, decreasing, and find the point(s) of relative extrema, if any....
Differentiate the following: 1) f(x) = √2x-4. (all under square root) 2) f(x) = x/5-x 3)...
Differentiate the following: 1) f(x) = √2x-4. (all under square root) 2) f(x) = x/5-x 3) y=cos(4x^3) 4) f(x)=tan(x^2) 5) f(x)= 3e^2x cos(2x) 6) y= sin2x/cosx 7) y= √sin(cosx) (all under the square root)
6) Given: (a) f (x) = (2x^2)/(x^2 −1) - Calculate f ′(x) and f ″(x) -...
6) Given: (a) f (x) = (2x^2)/(x^2 −1) - Calculate f ′(x) and f ″(x) - Determine any symmetry - Find the x- and y-intercepts - Use lim f (x) x→−∞ and lim f (x) x→+∞ to determine the end behavior - Locate any vertical asymptotes - Locate any horizontal asymptotes - Find all intervals where f (x) is increasing and decreasing - Find the open intervals where f (x) is concave up or concave down
Please solve all if possible.. 1. Determine the intervals where the function f(x)=2x^2−14x^4 is increasing and...
Please solve all if possible.. 1. Determine the intervals where the function f(x)=2x^2−14x^4 is increasing and decreasing, and also both coordinates of all local extrema, if any. Label each extremum as a maximum or a minimum. 2. Find the absolute maximum and absolute minimum value of the function. f(x)=2e^x^3 on [−2,1]. 3. Let f(x)=1−x^(1/3). Determine where the graph of the function is concave upward and concave downward, and the inflection points, if any.
Determine where the given function is concave up and where it is concave down. ​f(x)= 2x^3-6x^2-90x...
Determine where the given function is concave up and where it is concave down. ​f(x)= 2x^3-6x^2-90x Find the maximum profit and the number of units that must be produced and sold in order to yield the maximum profit. Assume that​ revenue, R(x), and​ cost, C(x), of producing x units are in dollars R(x)=50x-0.1^2, C(x)=4x+10 Find the number of units that must be produced and sold in order to yield the maximum​ profit, given the equations below for revenue and cost....
5. Consider the function f(x) = -x^3 + 2x^2 + 2. (a) Find the domain of...
5. Consider the function f(x) = -x^3 + 2x^2 + 2. (a) Find the domain of the function and all its x and y intercepts. (b) Is the function even or odd or neither? (c) Find the critical points, all local extreme values of f, and the intervals on which f is increasing or decreasing. (d) Find the intervals where f is concave up or concave down and all inflection points. (e) Use the information you have found to sketch...
ADVERTISEMENT
ADVERTISEMENT
ADVERTISEMENT