Question

In: Math

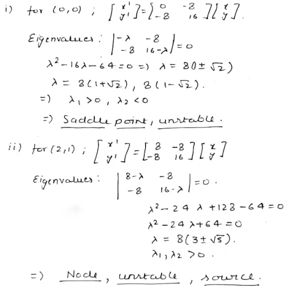
Find the equilbrium solutions of x'(t) = [2x^2 − 8y; -8x + 16y] . What is...

Find the equilbrium solutions of x'(t) = [2x^2 − 8y; -8x + 16y] . What is the types for each equilibrium solutions

Solutions

Expert Solution


Related Solutions

y'=(8x+2y)/(2x+8y)
y'=(8x+2y)/(2x+8y)
Minimize c = 8x − 8y subject to x/7≤ y y ≤ 2x/3 x + y...
Minimize c = 8x − 8y subject to x/7≤ y y ≤ 2x/3 x + y ≥ 10 x + 2y ≤ 35 x ≥ 0, y ≥ 0.
T(1+2x)=1+x-x^2 T(1-x^2)=2-x T(1-2x+x^2)=3x-2x^2 a)compute T(-6x+3x^2) b) find basis for N(T), null space of T c) compute...
T(1+2x)=1+x-x^2 T(1-x^2)=2-x T(1-2x+x^2)=3x-2x^2 a)compute T(-6x+3x^2) b) find basis for N(T), null space of T c) compute rank of T and find basis of R(T)
Let R(x) = ( 2x^2 − 8x + 6 ) / (x^2 + 6x + 8)...
Let R(x) = ( 2x^2 − 8x + 6 ) / (x^2 + 6x + 8) a) Find all x such that R(x) is undefined. Find all x such that R(x) = 0. Evaluate R(0). Graph R(x) indicating all vertical and horizontal asymptotes and x and y intercepts. b) Find the intervals on which ( x^2 + 2x + 12 ) / (x − 2) ≥ 2x + 5.
a) Select all solutions of (d^2/dx^2)y(x)+64y(x)=0. y(x)=3cos(8x) y(x)=3cos(4x) y(x)=C1sin(8x)+C2cos(8x) y(x)=−4sin(8x) y(x)=C2cos(8x) b) Select all solutions of...
a) Select all solutions of (d^2/dx^2)y(x)+64y(x)=0. y(x)=3cos(8x) y(x)=3cos(4x) y(x)=C1sin(8x)+C2cos(8x) y(x)=−4sin(8x) y(x)=C2cos(8x) b) Select all solutions of (d^2/dx^2)y(x)+36y(x)=0. y(x)=C2cos(3x) y(x)=C1sin(3x) y(x)=3cos(3x) y(x)=3cos(6x) y(x)=3sin(3x)+8cos(3x)
Find all solutions to the following equations: (a) √2x − 2 = √x + 1 (b)...
Find all solutions to the following equations: (a) √2x − 2 = √x + 1 (b) x4 − 5x2 + 6 = 0 (c) |3x − 7| < 5 (d) |ax + b| ≥ c Explain step by step please Suppose 4 is a right triangle with leg-lengths a and b and hypotenuse c. Find the missing side: (a) a = 3, b = 4, c =? (b) a = 12, c = 13, b =? (c) a = 6,...
A) Find the general solution of the given differential equation. y'' + 8y' + 16y =...
A) Find the general solution of the given differential equation. y'' + 8y' + 16y = t−2e−4t, t > 0 B) Find the general solution of the given differential equation. y'' − 2y' + y = 9et / (1 + t2)
Consider the nonhomogeneous equation y"-8y'+16y=e^4x cos x. Find a particular solution of the equation by the...
Consider the nonhomogeneous equation y"-8y'+16y=e^4x cos x. Find a particular solution of the equation by the method undetermined coefficients.
Find the solutions of the equation 4x^2 + 3 = 2x
Find the solutions of the equation 4x^2 + 3 = 2x
Divide using synthetic division. (2x^2-8x-4x^3+x^4)\(4+x)
Divide using synthetic division. (2x^2-8x-4x^3+x^4)\(4+x)
ADVERTISEMENT
ADVERTISEMENT
ADVERTISEMENT