In: Math
In the case that you would have to use heteroscedastic standard errors but instead falsely use homoscedastic standard errors. What implications would this have regarding unbiasedness, efficiency...
Thanks for your answer
Page 1

Page 2

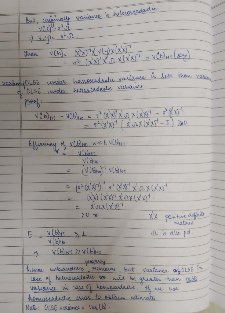
Conclusion: Property of unbiasedness remains.
However, Variance of OLSE ( b= (X'X)-1X'Y) computed
in case of heteroscedastic variance V(y)=
will be greater than the variance of OLSE computed in case of
homoscedastic variance. If we use homoscedastic variance to obtain
estimates of parameter
instead od
heteroscedastic variance.