Question

In: Physics

In the annual battle of the dorms, students gather on the roofs of Jackson and Walton...

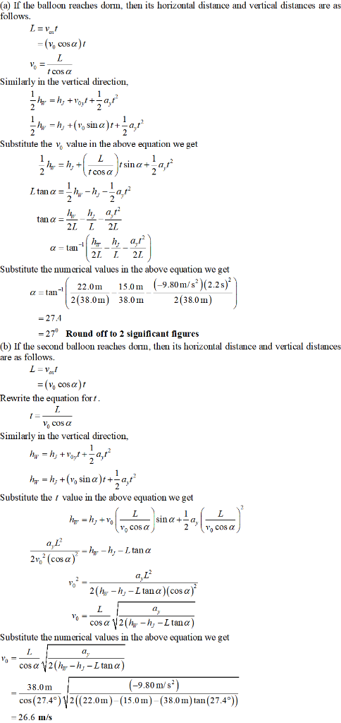
In the annual battle of the dorms, students gather on the roofs of Jackson and Walton dorms to launch water balloons at each other with slingshots. The horizontal distance between the buildings is 38.0 m, and the heights of the Jackson and Walton buildings are, respectively, 15.0 m and 22.0 m. The first balloon launched by the Jackson team hits Walton dorm 2.20 s after launch, striking it halfway between the ground and the roof. Ignore air resistance. (a) Find the direction of the balloon's initial velocity. Give your answer as an angle (in degrees) measured above the horizontal. (b) A second balloon launched at the same angle hits the edge of Walton's roof. Find the initial speed of this second balloon.

Solutions

Expert Solution


Related Solutions

Suppose 70% of all students live in dorms. Of those who live in dorms, 40% of...
Suppose 70% of all students live in dorms. Of those who live in dorms, 40% of them eat breakfast. Of those who don’t live in dorms, 30% eat breakfast. Make a tree from this information. Label all the probabilities. Make a table from this information. Label everything. Show your work. What percentage of allstudents eat breakfast? What rule/law do we use to answer the previous question? Multiplication rule Law of total probability Bayes rule Addition Rule If a randomly selected...
Part II. Suppose there are students living in two dorms, called Gold and Blue. Students are...
Part II. Suppose there are students living in two dorms, called Gold and Blue. Students are each one of two types, Partiers and Studiers, which determines their preferences. Each dorm will vote on a tax rate, the proceeds of which will be used to fund a party. The mean of the votes will become the effective tax rate, and all residents of the dorm will be required to pay that fee. To simplify the problem, assume that all people may...
A group of students gather at Raquel's house to do a statistical assignment. In this group...
A group of students gather at Raquel's house to do a statistical assignment. In this group there are 10 women and 8 men. Of the women 5 study Management and the rest Accounting, while of the men only one studies Management and the rest Accounting. a. If the first to arrive at the house are three girls, what is the probability that they will study the same? b. If any three of them make the assignment, what is the probability...
Your task is to calculate the average height of students in the class. You will gather...
Your task is to calculate the average height of students in the class. You will gather each of the student’s height and put it in a list. then you will throw out the shortest and tallest height to take care of any statistical anomalies. Then you will add the heights and divide by the number of student’s in the class. Heights of Students in inches Max=77 Josefine=67 Hannah=66 Mia=65 Ben=74 Kevin=70 Marie=64 Aidan=70 Steps On Python: Declare a list to...
Part I: Sampling Your college wants to gather student opinions about parking for students on campus....
Part I: Sampling Your college wants to gather student opinions about parking for students on campus. It is not practical to contact all the students. For this assignment, complete the following items: Design a bad sample. In a short paragraph, design how you would create a sample of students to answer your survey on parking. This should be an example of a bad sample design.    Design a good sample. Do the same as above, but discuss a sample design...
Suppose you gather the following test scores from you fellow students: 92,71,67,81,73,90,76,76,85,77,62,99. A.The upper quartile is...
Suppose you gather the following test scores from you fellow students: 92,71,67,81,73,90,76,76,85,77,62,99. A.The upper quartile is 85 B.The interquartile range is 15.5 C.The lower quartile is 71 D.The median quartile is 76
Walton Modems, Inc. (WMI) has several capital investment opportunities. The term, expected annual cash inflows, and...
Walton Modems, Inc. (WMI) has several capital investment opportunities. The term, expected annual cash inflows, and the cost of each opportunity are outlined in the following table. WMI has established a desired rate of return of 16 percent for these investment opportunities. (PV of $1 and PVA of $1) (Use appropriate factor(s) from the tables provided.) Opportunity A B C D Investment term 4 years 5 years 3 years 5 years Expected cash inflow $ 3,900 $ 4,600 $ 6,400...
Terri has an annual contract with Jackson Mortgage Brokers to provide property maintenance services; this includes...
Terri has an annual contract with Jackson Mortgage Brokers to provide property maintenance services; this includes lawn care, snow removal and parking lot maintenance. Terri spends, on average, 20 hours per week working at the company’s premises and is paid a flat amount monthly. She hires part-time workers, when necessary, to assist her. Terri does not have any other clients. Terri uses her own small tools; however the company supplies and maintains a riding lawn mower and a snow plow...
Bond Valuation with Annual Payments Jackson Corporation's bonds have 5 years remaining to maturity. Interest is...
Bond Valuation with Annual Payments Jackson Corporation's bonds have 5 years remaining to maturity. Interest is paid annually, the bonds have a $1,000 par value, and the coupon interest rate is 11%. The bonds have a yield to maturity of 10%. What is the current market price of these bonds? Round your answer to the nearest cent. Yield to Maturity for Annual Payments Wilson Wonders' bonds have 15 years remaining to maturity. Interest is paid annually, the bonds have a...
Exercise 6-2 Morgan Jackson invests $40,600 at 10% annual interest, leaving the money invested without withdrawing...
Exercise 6-2 Morgan Jackson invests $40,600 at 10% annual interest, leaving the money invested without withdrawing any of the interest for 10 years. At the end of the 10 years, Morgan withdraws the accumulated amount of money. Compute the amount Morgan would withdraw assuming the investment earns simple interest. (Round answers to 0 decimal places, e.g. 458,581.) Total withdrawn $enter total withdrawn in dollars rounded to 0 decimal places Compute the amount Morgan would withdraw assuming the investment earns interest...
ADVERTISEMENT
ADVERTISEMENT
ADVERTISEMENT