In: Statistics and Probability
It is estimated that 13% of those taking the quantitative methods portion of the certified public accountant (CPA) examination fail that section. Seventy seven students are taking the examination this Saturday. a-1. How many would you expect to fail? (Round the final answer to 2 decimal places.) Number of students a-2. What is the standard deviation? (Round the final answer to 2 decimal places.) Standard deviation b. What is the probability that exactly six students will fail? (Round the final answer to 4 decimal places.) Probability c. What is the probability at least six students will fail? (Round the final answer to 4 decimal places.) Probability
Given, p = 0.13 and n = 77
Answer a-1)

10.01 studentd are expected to fail
Answer a-2)
The population standard deviation is computed as:

The standard deviation is 2.95
Answer b)

The probability that exactly six students will fail is 0.0581
Answer c)
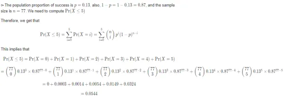
We have to find P(X ≥ 6)
P(X ≥ 6) = 1 - P(X ≤ 5)

P(X ≥ 6) = 1 - P(X ≤ 5) = 1 - 0.0544 = 0.9456
The probability at least six students will fail is 0.9456