• If a block of mass m at speed v collides inelastically with a block of mass M at rest, what is the final velocity of each block? What fraction of the initial energy is lost?
• Two identical circular hockey pucks of radius r traveling towards each other at the same speed v collide elastically. Their centers are separated by a vertical distance d, which is less than r. After the collision, with what angle relative to the initial path of the pucks will each one travel along?
• Explain the physics of Newton’s Cradle.
In: Physics
A capacitor C is connected to a battery of V volts and is fully charged.Keeping the battery connected, the spacing between the capacitor plates is reduced to half.
What happens to the potential difference between the two plates? Why?
What happens to the charge on the capacitor? Why?
What happens to the energy stored in the capacitor? Why?
Now the battery is disconnected, and then the plate spacing is restored to its original value.
What happens to the potential difference between the two plates? Why?
What happens to the charge on the capacitor? Why?
What happens to the energy stored in the capacitor? Why?
Note: It is not enough if you say
In: Physics
Every time I attempt to execute this, I get an
inputmismatchexception, which looks like this:
Oops! Read Exception: java.util.InputMismatchExceptionInitial
input:
Input sorted by grade
Input sorted selection
This is my code.
import java.util.*;
import java.io.*;
import java.io.PrintStream;
public class jack {
PrintStream prt = System.out;
int n;
int i;
int j;
double grade[];
String name[];
jack() {
try {
Scanner inf = new Scanner(System.in);
n=inf.nextInt();
inf.nextLine();
grade=new double[n];
name = new String[n];
for (int i=0; i<n; i++){
name[i] = inf.next();
inf.nextLine();
grade[i] = inf.nextDouble();
inf.nextLine();
}
inf.close();
} catch (Exception e) {
prt.printf("\nOops! Read Exception: %s", e);
}
}
private void print() {
for(int i=0; i<n; i++)
{
System.out.println(name[i]+" "+grade[i]);
}
System.out.println();
}
private void sortbyname(){
String minStudent;
int index;
for(int i=0;i<n-1;i++){
minStudent=name[i];
index=i;
for(int j=i+1; j<n; j++){
if(name[j].compareTo(minStudent)<0)
{
minStudent = name[j];
index =j;
}
}
String beforewrd = name[index];
name[index]=name[i];
name[i]=beforewrd;
}
}
private void sortbygrade(){
for(int i=0;i<n;i++){
int index=i;
for(int j=i+1; j<n; j++){
if(grade[j]<grade[i]){
index = j;
}
}
double smallNum = grade[index];
grade[index] = grade[i];
grade[i]=smallNum;
}
}
public static void main(String args[]) throws Exception{
jack p = new jack ();
System.out.print("Initial input:");
p.print();
p.sortbyname();
System.out.print("Input sorted by grade");
p.print();
p.sortbygrade();
System.out.print("Input sorted selection");
p.print();
}
}
In: Computer Science
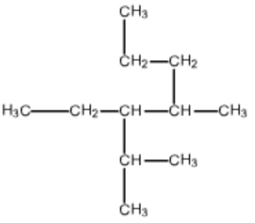
Which is the correct name of the following molecule?

In: Chemistry
Name the 3 branches of government AND their roles:
In: Economics
Define and name a Duopoly, are they a Monopoly and why they are or are not? Explain what a Cartel is, and why are they not illegal broadly speaking? Please define in economic terms.
In: Economics
Name the four lobes of the cerebral cortex. What functions do they perform.
In: Psychology
Name and explain the steps in the marketing process?
In: Economics